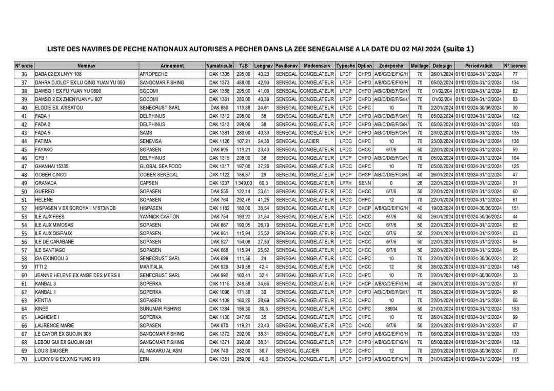
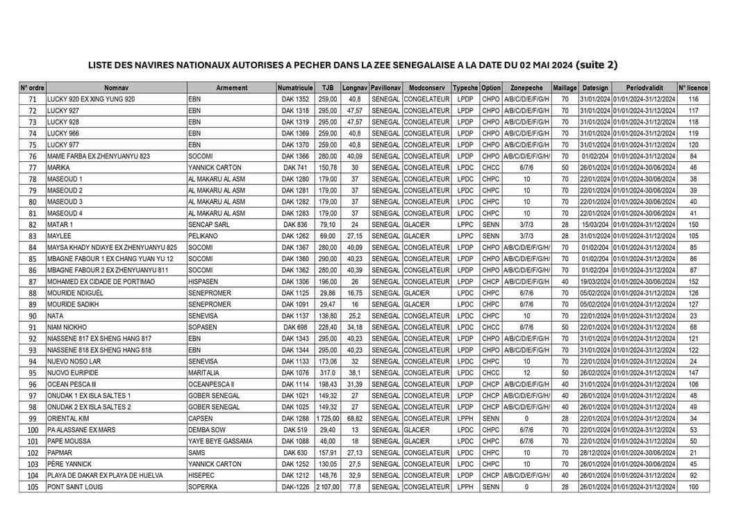
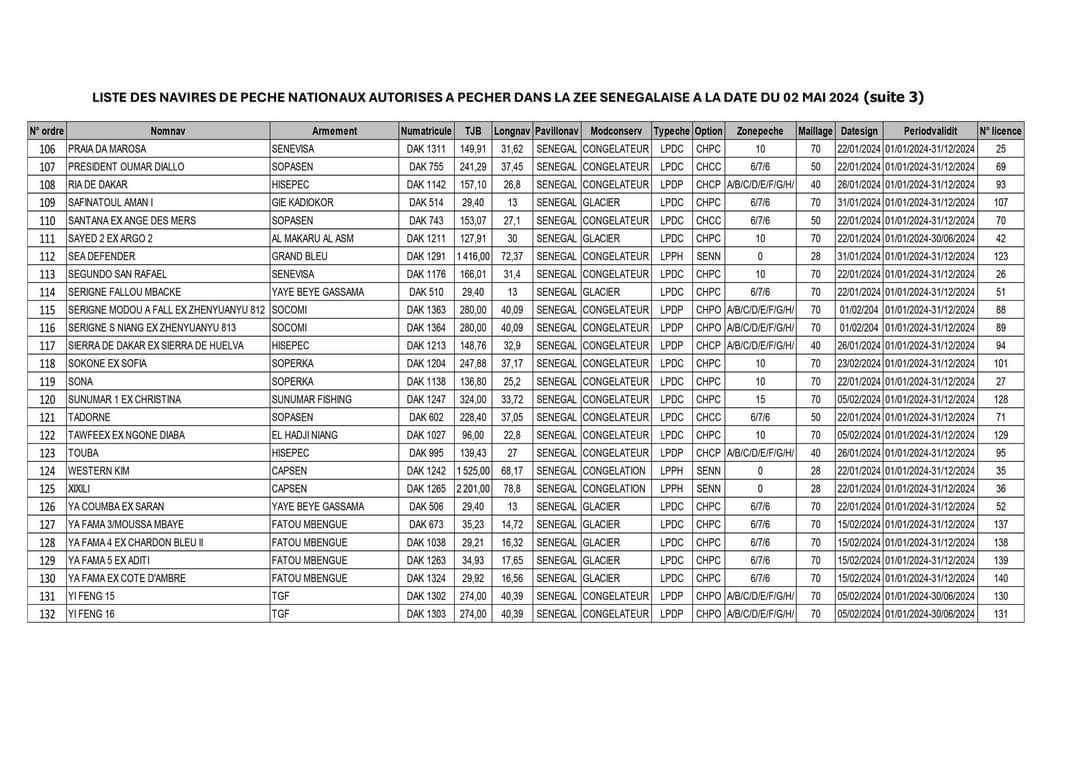
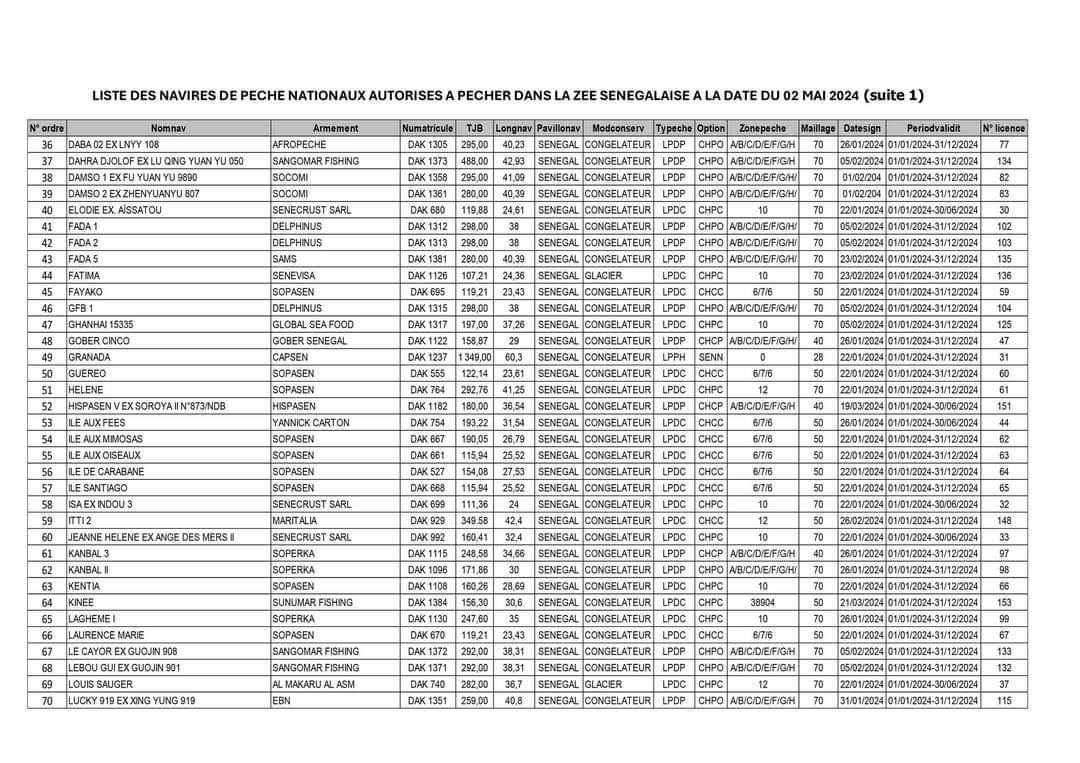
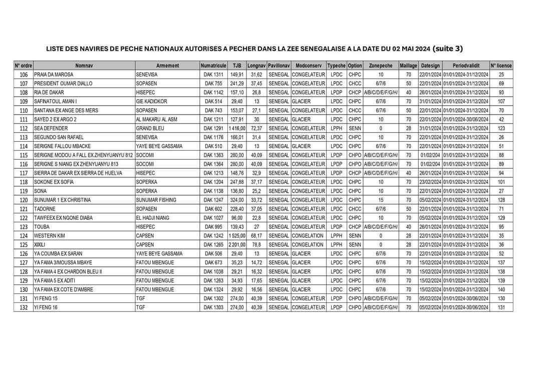
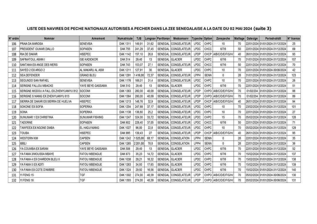
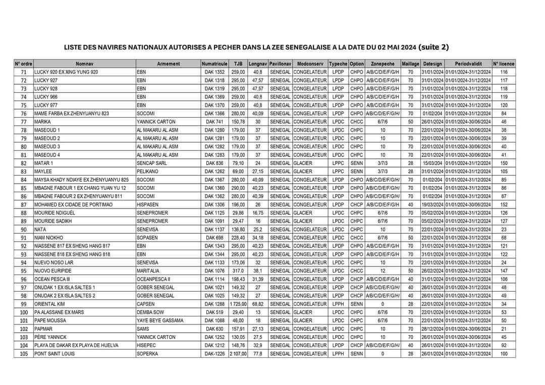
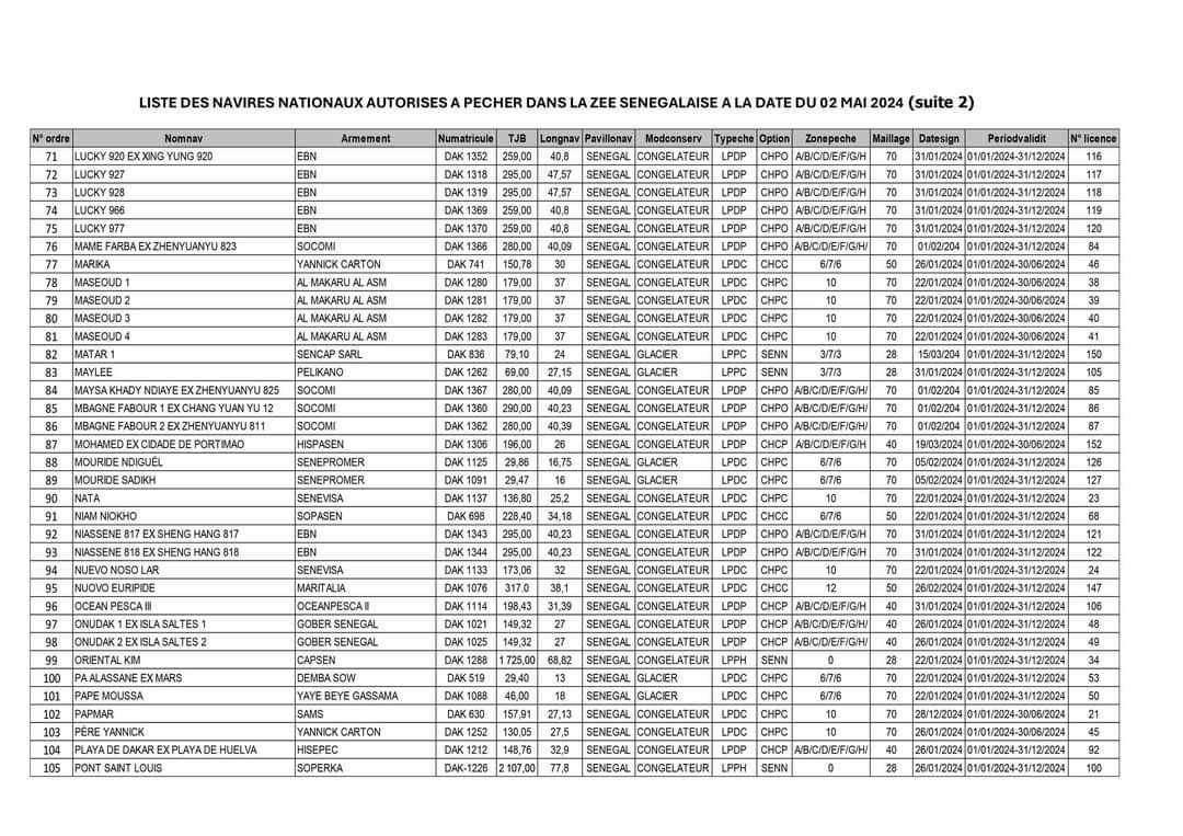
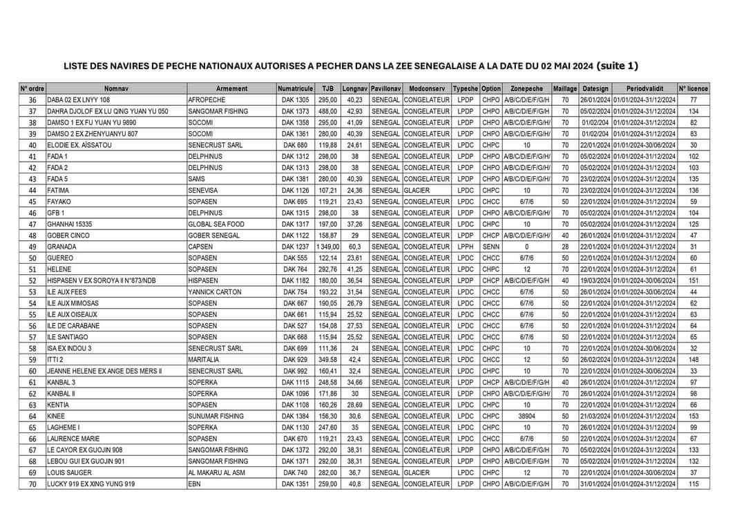
NETTALI.COM - Dans un communiqué rendu public, le ministère des pêches et des infrastructures maritimes et portuaires informe de la publication de la liste des navires autorisés à pêcher aux larges des côtes sénégalaises. Il s’agit de 132 navires sénégalais et 19 bateaux étrangers qui ont obtenu les permis d’effectuer leurs activités maritimes dans les sénégalaises à compter du 02 mai 2024.
Cette mesure, note le communiqué, répond au principe de transparence dans la gestion des ressources naturelles qui constituent un patrimoine national, prend effet à cette date du 06 mai 2024. Le ministère précise cependant, que cette liste ne tient pas compte des dossiers qui sont en cours de renouvellement.
PERMIS - Liste des 132 navires sénégalais et 19 bateaux étrangers autorisés à pêcher au Sénégal












